コレクション Ý« Onl p[} 122384-Yon lot fwa anko
Shifting Attention To Accuracy Can Reduce Misinformation Online Nature
Yon lot fwa anko
Yon lot fwa anko-



Solved 1 Let P 0 And Q 0 And Consider F X Y X P Chegg Com



Ejercicios Y Problemas Resueltos De Ecuaciones De La Recta Ii



Hungarian Alphabet Wikipedia



Especial Parkinson Avanzado Curemos El Parkinson



A Visual Comparison Of Different National Layouts On A Computer Keyboard



Noritz Nc380 Sv Asme Lp Liquid Propane 13 2 Gpm Btu 1 Volt Commercial Indoor Liquid Propane On Demand Tankless Water Heater Faucet Com



Imagen Descubierto Por Yana Descubre Y Guarda Tus Propias Imagenes Y Videos En We Heart It Grunge Photography Grunge Photo



Solved We Use The Form Y A Bx For The Least Squares L Chegg Com



Libro De Practica Formal



Italia Wikipedia La Enciclopedia Libre



Lp Interview Magazine Lp Singer Lesbian Looks Singer



Geniowe02 Y Por Ultimo Pablo Aimar Mediocentro De River Y Que Tuvo Su Paso Por Valencia



Tema 4 Ejercicios Resueltos



Tema 4 Ejercicios Resueltos



Indice De Masa Corporal Y Porcentaje De Grasa En Adultos Indigenas Ecuatorianos Awa



History Of Yoga By Frank Maximchuk Issuu



Age And Environment Related Differences In Gait In Healthy Adults Using Wearables Npj Digital Medicine



Indice De Masa Corporal Y Porcentaje De Grasa En Adultos Indigenas Ecuatorianos Awa



Table 4 From Replacement Of Sorghum Silage Sorghum Bicolor L Moench With A Columnar Cactus Pilosocereus Gounellei A Weber Ex K Schum Byl Ex Rowl On Diets Of Lactating Dairy Cows



N Wiktionary



Solved 18 A Length L Conductor Carries Current I In The Chegg Com



Conferencias Seminarios Y Trabajos De Matematica Pdf Free Download



Neural Machine Translation With Attention Tensorflow Core



Food Discovery With Uber Eats Using Graph Learning To Power Recommendations Uber Engineering Blog



Chorhhh



Espaans Nl Spanish Classroom Spanish Lessons Learning Spanish



Chorhhh



Harmonic Function Wikipedia



Pdf Optimism Coping And Health Assessment And Implications Of Generalized Outcome Expectancies



Krskcfarzlejim



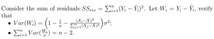
Consider The Sum Of Residuals Ssres Lp 1 Y Y Chegg Com



Italia Wikipedia La Enciclopedia Libre



14 U J S Bs C C Ce K Hv H Nh S L Hml J Hp L H V A Ahuu E L



Solved 3 Figure Below Shows A U Shaped Conductor Which W Chegg Com



Safety And Efficacy Of The Chadox1 Ncov 19 Vaccine Azd1222 Against Sars Cov 2 An Interim Analysis Of Four Randomised Controlled Trials In Brazil South Africa And The Uk The Lancet



Definitions Meanings Synonyms And Grammar By Oxford Dictionary On Lexico Com



The Effects Of An Osmoregulator Carbohydrates And Polyol On Maturation And Germination Of Golden Thb Papaya Somatic Embryos



Inegalites De Sobolev Logarithmiques Et Hypercontractivite En Mecanique Statistique Et En E D P



Brigantetattoo On Instagram La Familia Tattoo Tattoos Letteringtattoo Art Letras Para Tatuagem Fontes De Letras Para Tatuagem Palavras Para Tatuagem



Pin On P ŕ A Y



Pin On Procvicovani Uciva 3 5 Trida



Pin On Font Typography Lettering英語フォント



Solved Problem 3 Suppose That We Have A Linear Program Chegg Com



Calidad De Vida Y Salud Bucal En Preescolares Ecuatorianos Relacionadas Con El Nivel Educativo De Sus Padres



Download Hd Holiday Homework For Class 10 Cbse Transparent Cach Lp Y Ca Bai Vn Biu Cm Png Free Transparent Png Images Pngaaa Com



Kate Nv O Y N For Rvng Intl Lp Meditations



Indice De Masa Corporal Y Porcentaje De Grasa En Adultos Indigenas Ecuatorianos Awa



Pin By Y Nhi Loại On Bisagra Interior Design Furniture Wood Furniture Joinery Details



Ppt Adam Vizina 1 2 Martin Hanel 1 2 Oldrich Novick Y 1 Pavel Treml 1 Powerpoint Presentation Id



Pdf Information Based Deep Clustering An Experimental Study



Calidad De Vida Y Salud Bucal En Preescolares Ecuatorianos Relacionadas Con El Nivel Educativo De Sus Padres



Improving The Structural Design Process A Knowledge Management Approach Pdf Free Download



Shifting Attention To Accuracy Can Reduce Misinformation Online Nature



Jetbrains Mono A Free And Open Source Typeface For Developers Jetbrains Developer Tools For Professionals And Teams



Building Chatbot On Fpt Ai Platform Documentation



Terminos Del Servicio De Google Privacidad Y Condiciones Google



Yomi Chan Dorm Layout My Hero Academia Dorm Room Layouts



Sellos Y Artistas Haskova Eva



Cual Es La Diferencia Entre Responsabilidad Civil Subjetiva Y Objetiva Lp



Deep Learning Foundation 1 Sigmoid Softmax Cross Entropy Programmer Sought



Uso De Imanes En El Tratamiento De Queloides Auriculares



Solved 1 Let P 0 And Q 0 And Consider F X Y X P Chegg Com



Calidad De Vida Y Salud Bucal En Preescolares Ecuatorianos Relacionadas Con El Nivel Educativo De Sus Padres



Calidad De Vida Y Salud Bucal En Preescolares Ecuatorianos Relacionadas Con El Nivel Educativo De Sus Padres



Y Wiktionary



Declaration Of The Rights Of Man And Of The Citizen Wikipedia



Indice De Masa Corporal Y Porcentaje De Grasa En Adultos Indigenas Ecuatorianos Awa



C I T A C I E P U B L I K O V A N Y C H P R A C 09



My Divines Kennel Home Facebook



Laurencio Adot On Instagram In Buenosaires Home1 Ultimos Dias Miercoles In Pandemiafest Frases Ironicas Frases Sabias Frases Motivadoras



Cykass



Words That Start With Y List Of 100 Helpful Words Starting With Letter Y Love English In 21 Words English Vocabulary English Vocabulary Words



A Q J M Z O R W P I N B C L E X Drawing By Alain



Get Started With Natural Language Processing Content Design



Solved 5 Write A Matlab Program To Solve The Following P Chegg Com



P 1



Physics Equations 01



Mis Primeras Letras Las Consonantes Nasales M N Y N Youtube



Automates Sur Les Mots Xml Relationnel Olap Data Mining Pdf Free Download



Plformat



Stav Technologie Mechanizace A Zen Staveb Fakulta Stavebn



2 Free Magazines From Fok Cz



L Iai R Av Ii ųy Y S



Accelerating Dynamics Of Collective Attention Nature Communications



Piensa En Tu Felicidad Quieres Formarte En Pnl Estudia Con Nuestros Cursos De Certificacion Practition Frases De Palabras Frases Bonitas Ser Positivo Frases



Indice De Masa Corporal Y Porcentaje De Grasa En Adultos Indigenas Ecuatorianos Awa



P Wiktionary



Altgr Key Wikipedia



List Of Unicode Characters Wikipedia



Nol Noltr Naval Ordnapfce Laboratory White Oak Silver Spring Maryland June Pdf Free Download



Y Wikipedia


コメント
コメントを投稿