無料ダウンロード ©«X Vbv Vs ¢¿² 328425
Equations Of Motion Numerical Problems To Calculate Distance Travelled
©«X Vbv Vs ¢¿²
©«X Vbv Vs ¢¿²-



Graphical Analysis Of One Dimensional Motion Physics



Projectile Equations With Explanations



Circuits Flashcards Quizlet



Boddeker Ch 2 Homework



The Si Unit Of Energy Is J Kg M2 S 2 That Of Speed V Is M S 1 And Of Acceleration A Is M S 2 Which Of Then Formulae For Kinetic



Acceleration



Motion With Constant Acceleration



Chapter 2



A Computed Reduction Potentials Vs Mg V For Individual Solvent Download Scientific Diagram



New Page 1



Motion Equations For Constant Acceleration In One Dimension Physics



4 3 Projectile Motion University Physics Volume 1



3 6 Finding Velocity And Displacement From Acceleration University Physics Volume 1



Solved Activity Rotational Kinematics Grade Name Print Chegg Com



Acceleration



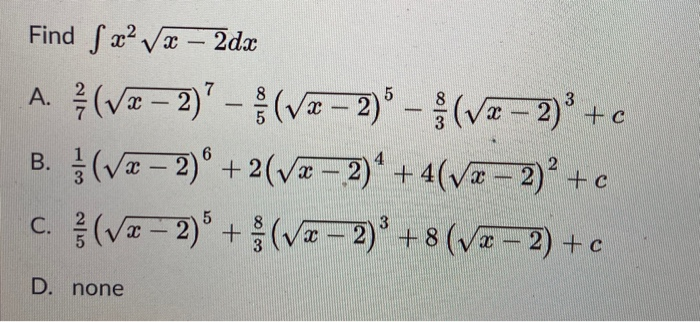
Solved Find S X V X 2dx A V2 2 Vt 2 Chegg Com



What Are The Kinematic Formulas Article Khan Academy



In A Region The Potential Is Represented By V X Y Z 6x 8xy 8y 6yz Where V Is In Volts And X Y Z Are In Meters



A Marble Rolls Around With No Friction In A Circular Loop That Has A Radius Of Homeworklib



Mastering Physics Solutions Chapter 2 One Dimensional Kinematics A Plus Topper



Schoolphysics Welcome



The Si Unit Of Energy Is J Kg M2 S 2 That Of Speed V Is M S 1 And Of Acceleration A Is M S 2 Which Of Then Formulae For Kinetic



Lecture 3



Solved 2 Each Given That X Is Displacement In Meters T Chegg Com



Motion Equations For Constant Acceleration In One Dimension Physics



Correctness Of Physical Equation Dimensions Of New Physical Quantity



Visual Proof A V 2 R Youtube



In A Distance Time 2 Graph Does The Slope Represent Acceleration Or Acceleration 2 Physics Stack Exchange



Verifying Solutions To Differential Equations Video Khan Academy



Exam 1 Problems Flashcards Quizlet



Blocks A And B Are Originally At Rest Block B Begins To Move Upward With A Homeworklib



Solved An Object Is At X 0 At T 0 And Moves Along The Chegg Com



Equations Of Motion Numerical Problems To Calculate Distance Travelled



Content Constant Acceleration



Let Us Consider An Equaiton 1 2 Mv 2 Mgh Where M Is The Mass Of The Body Upsilon Its Youtube



Elements Of Translating Mechanical Systems



9 Kinematics Of Particles



Worked Example Motion Problems With Derivatives Video Khan Academy



A Particle S Position Is Given By X 19 0 15 00t 3t2 In Which X Homeworklib



Chapter 28 28 1 An Electron That Has Velocity I V 2 0 A 10 6 M



Distance Velocity And Acceleration



D Vt 1 2at 2 What Is The Reason Behind This Equation Quora



3 2 Representing Acceleration With Equations And Graphs Texas Gateway



Motion Equations For Constant Acceleration In One Dimension Physics



Answered A Fish Swimming In A Horizontal Plane Bartleby



If The Velocity Of A Particle Is V At Bt 2 Where A And B Are Constants Then The Distance Brainly In



Variations Of The Qsl As A Function Of V C For The Rindler Space Time Download Scientific Diagram



Openstax College Physics Solution Chapter 2 Problem Problems Exercises Openstax College Physics Answers



Dimensional Analysis Principle Of Homogeneity Their Applications



Answer Key Newton S Laws And Kinematics Openstax Cnx



X 2 2 Expand And Simplify Using Foil Method Youtube



Answered A A Particle Which Is Moving In A Bartleby



What Is The Solution Of The Integration Of 1 V 1 Vdv Quora



A Photocurrent Density Of The Photocathodes Vs The Applied Voltage Download Scientific Diagram



3 4 Motion With Constant Acceleration University Physics Volume 1



Solved Problem 16 From The Projectile Problems That You Chegg Com



Boddeker Ch 2 Homework



The Van Der Waal S Gas Equation Is P A V 2 V B Rt Where P Is Pressure V Is Molar Volu R Youtube



3 2 Representing Acceleration With Equations And Graphs Texas Gateway



What Are The Kinematic Formulas Article Khan Academy



5 3 Projectile Motion Texas Gateway



The Position Of An Object Moving Along X Axis Is Given By X A Bt 2 Where A 8 5 M And B 2 5 M S 2 And T



The Velocity Of A Paticle Is Given By The Equation V 2t 2 5cms



What Is The Integration Of 1 V 2 V Quora



Motion Equations For Constant Acceleration In One Dimension Physics



Velocity Calculator V 2 U 2 2as



Deriving 3 Equations Of Motion From V T Graph Video Khan Academy



Rectilinear Motion



Solved Calculate V V And Vxv 5x Y X Y 2 Yr And X V Chegg Com



Partial Fraction Expansion Repeated Factors Video Khan Academy



Graphical Analysis Of One Dimensional Motion Physics



Correctness Of Physical Equation Dimensions Of New Physical Quantity



A Tennis Player Tosses A Tennis Ball Straight Up And Then Catches It After 2 Seconds Youtube



Elements Of Translating Mechanical Systems



New Page 1



Solved The Components Of A Velocity Field Are Given By U Chegg Com



Capitulo 16 De Dinamica



Answered The Velocity Of A Particle Moving Along Bartleby



Suvat Calculator



Misc 16 Solve Equations 2 X 3 Y 10 Z 4 4 X 6 Y 5 Z 1



Acceleration



Distance Velocity And Acceleration



Solved A Particle Moves Along A Straight Line With A Cons Chegg Com



Finding Features Of Quadratic Functions Video Khan Academy



Motion Equations For Constant Acceleration In One Dimension Physics



Square Algebra Wikipedia



Motion Velocity Time Graph Problem 2 Youtube



Motion With Constant Acceleration



Solved A Particle Moves Along A Straight Line With A Cons Chegg Com



Relative Motion Velocity In Two Dimensions Formulas Videos Examples



A Cj V Curves For Qdscs Sensitized With A Cdsexs1 X Qds Fabricated Download Scientific Diagram


コメント
コメントを投稿