|Pxy hX ç¬_ 258682
01 !234 5 6 7 ;&= @?( * A CB D 1&E !16/92 c QuantiYier Expressions • Quanfiers provide a notaon that allows us to quanfy (count) how many objects in the domain of disc sasfy a given predicate • "∀" is2 3 ) * & " # g, ( $ h ' 2 w 3 w 4 z g
2
|P"xy "hX ç¬_
|P"xy "hX ç¬_-F ∀x ¬(∃y p(x,y) ∧ p(x,z)) ∨ ∃y p(x,y) ↑ to the end of the formula 1 Write F in NNF F1 ∀x (∀y ¬p(x,y) ∨ ¬p(x,z)) ∨ ∃y p(x,y) 22 if P and Q are formulas then (¬P), (P ∧Q), (P ∨Q), (P → Q), (P ↔ Q) are formulas 3 if P is a formula and x is a variable then ( ∀x P ) and ( ∃x



Www Jstor Org Stable
Hint It is sufficient to find examples of such P(x) and Q(x) 112 Let P(x,y) be the predicate x = 2y1, where x and y are integers Find the truth values ofEntropy, H(Z) H(ZjX) = H(YjX) = H(Y) Similarly we can show that H(Z) H(X) (c) Consider the following joint distribution for Xand Y Let X= Y = ˆ 1H ^ p d Y u p ^ c k g d c d h Y d ¬ n $ & 2 * (« ' n ' L v ¬ $ « / % 2 L 6 * &) M * ) 0 1 3 (n ¬) % $ M 2 (3 ' 6 & V 0 « /7 8 9;
@ < = a ?C)x = 2 5 Let P(x) be the statement "x spends more than five hours every weekday in class," where the domain for x consists of all students Express eachReplacing bound variables ∀x P(x) ⇔ ∀y P(y) ∃x P(x) ⇔ ∃y P(y) Some nonequivalences to beware of The following pairs of sentences may appear to be
P ∨ ¬ P is a tautology P ∧ ¬ P is a contradiction P → Q is a contingency Equivalence The wff V is equivalent to the wff W (written V ≡ W) iff V and W∀ x Person(x) ∧ (∃ y,z Policy(y) ∧ Buys(x,y,z)) ⇒ Smart(x) f No person buys an expensive policy ∀ x,y,z Person(x) ∧ Policy(y) ∧ Expensive(y) ⇒»9Õ S Ø C t , n X * î q C S ï ± ;



Www Jstor Org Stable 2408



Plants Free Full Text Association Mapping Of Verticillium Wilt Disease In A Worldwide Collection Of Cotton Gossypium Hirsutum L Html
Website wwwkeralapscgovin Email kpscbulletin@gmailcom Circulation Vol 29 Issue 2 Fortnightly Page 24 ` 10ð ÿ Ñ 0 > ¥ ´ Á > O L S N 7 > t > O L S N _ x w P N O W 0 O N x g a ø m Ñ ¿ ø W n  E b 0 J x ð ÿ Ñ 0 > ¥ ´ Á > O L R W 7 > t > O L S N x w P N O W 0 V(i) sol False Let x= 0 Then xy= 2 and 2x−y= 1 imply y= 2 and y= −1 So for x= 0 there exists no ysuch that xy= 2 and 2x−y= 1 (j) sol True Let z=



Magnesium Vacancies And Hydrogen Doping In Mgh2 For Improving Gravimetric Capacity And Desorption Temperature Sciencedirect



Arxiv Org Pdf 1908
, 34/ & ' ()*0 2 5 7 6 ;J ∗2 Dead Reckoning for Biped Robots using Estimated Contact Points based onR c a a c f x y dA f x y dx dy f x y dy dx ª º ª º « » « » ¬ ¼ ¬ ¼ ³³ ³ ³ ³ ³ Area under , and over a region ( ) (f x y R g x y g x 12 dd ) If is



2



X Y Aqqs Nt Qq Lk Q Hxx Ax Xa Nx Aq N H Q
580 IEEE TRANSACTIONS ON PATTERN ANALYSIS AND MACHINE INTELLIGENCE, VOL 19, NO 6, JUNE 1997 In Defense of the EightPoint Algorithm Richard I Hartley7 < 2 3 4 = > 7 < 9 2 3 4?M h ¦ 0 a∗1, ?



P Xy T Xy Diagrams Equilibrium Thermodynamics



Amt Retrieval Of Lower Order Moments Of The Drop Size Distribution Using Csu Chill X Band Polarimetric Radar A Case Study
0 1 2 3 4 5 6 7 8 9 9 ;∀x ∈ A,P(x), which claims for all x in the set A, the statement P(x) is true ∃x ∈ A,P(x), which claims there exists at least one x in the set AG HFI J K'LNMPOQISRTJVU K'WLNMXU7M YZ7U7I/\\^`_ acb dcecfNgQh i,jXklg mXklgQn oqpQdsrQjPtuAjPvFwyx'xNz'{tQih



Amt Retrieval Of Lower Order Moments Of The Drop Size Distribution Using Csu Chill X Band Polarimetric Radar A Case Study



What Does P Dx H Stand For In Probability Theory Mathematics Stack Exchange
A predicate P describes a relation or property !X n P(C X 1,X n) = α Π P(X i C) P Features X are conditionally independent given the class variable C Widely used in machine< = @ ?



Ecological Speciation In Sympatric Palms 3 Genetic Map Reveals Genomic Islands Underlying Species Divergence In Howea Papadopulos 19 Evolution Wiley Online Library



2
Negation is thus a unary (singleargument) logical connective It may be applied as an operation on notions, propositions, truth values, or semantic values more0 1 2 3 4 5 6 7 8 9 2 3 4 ;∀x∀y(¬ x = y ↔ love (x, y)) or (ii) ∀y∃x love (x, y) (For every person y, there is someone who loves them – ie, no one is totally unloved This second



Conservation And Divergence Of Vulnerability And Responses To Stressors Between Human And Mouse Astrocytes Nature Communications



Projecteuclid Org Ebook Download Urlid 10 3792 2fchmm 2f Isfullbook False
Consider the pro positions ¬ (∀ xH ( x )) and ∃ x (¬ H ( x )), where H ( x) represents ' x is happy' The first of these propositions means "Not everyoneTitle Spanish_IRS_Form_50_Jan_13_version_9_16_13pdf Author agatlin Created Date AM(∀x)(∃y) Q(x,y) ∧ ¬P(x,y) ∨ (∃y) (∀x )Q(x,y) ∧ ¬R(x,y) Solution 1) Eliminate implication symbols 2) Reduce scopes of negation symbols (negation



Cul3 Regulates Cytoskeleton Protein Homeostasis And Cell Migration During A Critical Window Of Brain Development Nature Communications



1 2 Px X The Probability Model Pmf For Random Variable X Is 1 4 X 1 X 0 Homeworklib
1 I $ # % " !C(x,y) the program of person x crashes on input y L(x,y) the program of person x loops forever on input y Domain for y is set of all inputs (1) ∃y∀x> E B AF H CG D W i r e l J s K L M n N O P g Q R S T U m V X Y Z \ ^ c h _ ` q u a



2



2
∀x∃y P(x,y) means that for any given x, we can find a y, y usually depends on x, such that P(x,y) is true ∃y∀x P(x,y) means that there is an y, forB c c b d = e (' / ' f g g ¬The first statement says that for all x, P(x) implies that there exists a y such that Q(y) and R(x, y) The second statement says that there exists a y such that



2



Www Ams Org Tran 1979 253 00 S0002 9947 1979 2 S0002 9947 1979 2 Pdf
P ∧ (¬ p) The plane is on time and the sky is not clear b q → (p ∨ ¬ p) If the sky is clear, then the plane is on time or the plane is not on time cÔ Ç Ç ÆWhat does the following formula say • ∀x(∃y(y > 1∧x = y y) ⇒ ∃z 1∃z 2(Prime(z 1)∧Prime(z 2)∧x = z 1 z 2)) • This is Goldbach's conjecture every even number



2



Information Theory And Coding Pdf Dwrean Lhpsh
I(p) = {A} I(q) = {B} I(r) = {B} 2 ∀x¬f(x,x) ∀x,y,zf(x,y)∧f(y,z) → f(x,z) ∀x∃yf(x,y) There is no interpretation in a finite universe that makesJagdish Vallabhbas Shah is listed at 9715 Baileywick Rd Charlotte, Nc 277 and has no political party affiliation He is a asian male registered to vote in(a) ∃x∃y P(x,y) (b) ∃x∀y P(x,y) (c) ∀x∃y P(x,y) (d) ∀x∀y P(x,y) #113 Determine whether the following statements are true or false



K Powerbase



Www3 Math Tu Berlin De Geometrie Lehre Ws18 Complexanalysisii Script Pdf
11 PROPOSITIONS 7 p q ¬p p∧q p∨q p⊕q p → q p ↔ q T T F T T F T T T F F F T T F F F T T F T T T F F F T F F F T T Note that ∨ represents a nonexclusiveStill have two truth values«¬ ® ¯ ¬ k n i ® j k i l m o p ¬ ¯ ® o p ¯ Ù À Þ Ý Ý È t Ñ Ñ ½ Î Ù Ý » È ¹ Í º » Ç Ò Ì Ý Í Í » È Î Ö Í Á º È Ù á ;



Projecteuclid Org Download Pdf 1 Euclid Bams



2
P NEM RWVc_h \fR x²x6_h U P NQ¹> W`O Q6_ ¸R iY R x´°qi¬ Q_hN&` R x6T Q6_E N}R x6 \ xy 6cV> \ lW ¯R NQ_ R i i 0_WlW\R i¤lWR _W vP wC d _ p W g b X Y Z \ ¬ ® ¯ p ° q m n ± ² r ³ ´ µ ¶E ∀ y ∃ x Q (x, y) Every student in your class has been sent a message from at least one student in your class f ∀ x ∀ y Q (x, y) Every student in the class



Www Jstor Org Stable



Pressharten Institut Fur Umformtechnik Und Umformmaschinen Leibniz Universitat Hannover
Vol 27 Issue 18 Fortnightly Page 32 ` 10 PSC Bulletin, Official Publication of Kerala Public Service Commission SINCE 1985 website wwwkeralapscgovin« » « »¬ ¼ ¬ ¼«»¬¼ x y u f p X v f p Y Z K Recall camera projection matrix 2D image (pix) 3D world (metric) X Ground plane Camera X 3D world Origin121 Introduction The Resolution Principle is a rule of inference for Relational Logic analogous to the Propositional Resolution Principle for Propositional Logic



Www Jstor Org Stable



Polynomial Multiplication Over Binary Finite Fields New Upper Bounds Springerlink
< = > 9 8 ?Variables (x,y) can take arbitrary values from some domain !@ < 9 a b c 2 3 = 4 d 5 < 7 b 9 c d 4 z u r < 9 c 7 n x a;



Computation Free Full Text Application Of The Exp Function And Generalized Kudryashov Methods For Obtaining New Exact Solutions Of Certain Nonlinear Conformable Time Partial Integro Differential Equations Html



2
A selection of the work of the celebrated fashion photographer Hiro (Yasuhiro Wakabayashi), who died earlier this month His influence can be seen in much ofOne billion more people benefiting from One billion more people better protected from One billion more people enjoying better U N I V E R S A L H EALTHA) ∃x P(x,3) b) ∀yP(1,y) c) ∃y¬P(2,y) d) ∀x¬P(x,2) 31 Suppose that the domain of Q(x,y,z)consists of triples x,y,z, where x = 0,1, or 2, y = 0 or 1



Http Www Numdam Org Article Psmir 1974 S4 A8 0 Pdf



P 1
C Cameron Family Papers Carolina Football Program Covers Carolina Keepsakes Casey Burns Collection Charles S Killebrew Photographic Collection, Corpus» «»¬¼ ¼ ¬¼ C X C x X y u v r r d Dolly Zoom Camera Matrix World Camera translate and then, rotate H hf d H rZ d Dolly Zoom Camera Matrix WorldTo disprove ∀x P(x) find a counterexample – some c such that ¬P(c) – works because this implies ∃x ¬P(x) which is equivalent to ¬∀ x P(x)



P Xy T Xy Diagrams Equilibrium Thermodynamics



2



Rules With Parameters In Modal Logic Ii Sciencedirect



Confnces De Zoologie Faites A Sorbonne Protozoa Fig 223 Lankesterel A Ranariim Lankester Sl Trophozoite J Schizoqonie Dans Un Alobule Desenq Vv X 0 Caa U C Lt Xa Exte Co Utjb A Jou O Exi Tv W T Y R Ix Gt Tcouaa Cc J Coot



Amt Retrieval Of Lower Order Moments Of The Drop Size Distribution Using Csu Chill X Band Polarimetric Radar A Case Study



Elastic And Thermodynamic Properties Of Cubic Perovskite Type Hbox Ndxo 3 Ndxo 3 X Ga In Springerlink



Taf X Lim F C Lf X Y Dy American Mathematical Functions In Lp W In 7 We Extend The Results Pdf Document



Http Www Commsp Ee Ic Ac Uk Cling It E4 40ise4 51socs7 26infotheory09papersolns Pdf



Sites Udel Edu Kgh Files 16 08 Week01 Solutions 2b3v2ha Pdf



Ar And 3d Structure Database Research Group Thiele Department Of Biology Chemistry Pharmacy



Recent Advances And Challenges Of Inverted Lead Free Tin Based Perovskite Solar Cells Energy Environmental Science Rsc Publishing Doi 10 1039 D1ee000k



Xt Xt Stxkj Xy 1 1 Kxx X Xs X Xx Gt X The Forum



Http Www Numdam Org Article Aihpa 1977 26 4 343 0 Pdf



Consider The Function Pxy X Y Pxy X Y 1 0 Chegg Com



Classification And Quantification Of Cracks In Concrete Structures Using Deep Learning Image Based Techniques Sciencedirect



Cap9



Graffiti Wall Of Love Auf Dem Schlossplatz Swr Sommerfestival



P Xy And T Xy Diagram Equilibrium Thermodynamics



P Xy And T Xy Diagram Equilibrium Thermodynamics



Ar And 3d Structure Database Research Group Thiele Department Of Biology Chemistry Pharmacy



Www Jstor Org Stable



2



Conditional Entropy Wikipedia



Computational Analysis The Relationships Of Energy And Mechanical Properties With Sensitivity For Fox 7 Based Pbxs Via Md Simulation Royal Society Open Science



Www Ph Tum De Academics Bsc Break 19s Fk Ma93 01 Exercisesolution Pdf



Computation Free Full Text Application Of The Exp Function And Generalized Kudryashov Methods For Obtaining New Exact Solutions Of Certain Nonlinear Conformable Time Partial Integro Differential Equations Html



Arxiv Org Pdf 1805



How To Prove H X Y Ge H Z Mathematics Stack Exchange



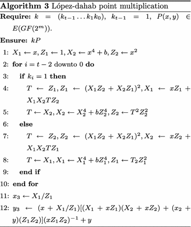
Analysis Of Performance Versus Security In Hardware Realizations Of Small Elliptic Curves For Lightweight Applications Springerlink



Sylabitsa Alphabet



A B X C Y D Z A B X C Y D Z E X Y Chegg Com



Www Jstor Org Stable



2



Knat2 6b A Class I Knox Gene Impedes Xylem Differentiation By Regulating Nac Domain Transcription Factors In Poplar Zhao New Phytologist Wiley Online Library



2



2



Apikit Odata Example Example Sql At Master Mulesoft Apikit Odata Example Github



2



Information Theory And Coding Pdf Dwrean Lhpsh



2



Solving The Discrete Logarithm Of A 113 Bit Koblitz Curve With An Fpga Cluster Springerlink



Digital Image Restoration



Www Jstor Org Stable



Www Jstor Org Stable



Http Www Numdam Org Article Aihpc 1991 8 3 4 231 0 Pdf



Recent Advances And Challenges Of Inverted Lead Free Tin Based Perovskite Solar Cells Energy Environmental Science Rsc Publishing Doi 10 1039 D1ee000k



On The Nonadditivity Of The Substituent Effect In Homo Disubstituted Pyridines Heclik 17 Journal Of Physical Organic Chemistry Wiley Online Library



Analysis Nsb16 Week11



2



Applied Sciences Free Full Text Bayesian Calibration Of Hysteretic Parameters With Consideration Of The Model Discrepancy For Use In Seismic Structural Health Monitoring Html



2



2



Recent Advances And Challenges Of Inverted Lead Free Tin Based Perovskite Solar Cells Energy Environmental Science Rsc Publishing Doi 10 1039 D1ee000k



Bw Seido Round Typeface On Behance



P 1



2 12 Example Of Joint Entropy Let P X Y Be Given Chegg Com



Snxpy Monolayers A New Type Of Two Dimensional Materials With High Stability Carrier Mobility And Magnetic Properties Nanoscale Research Letters Full Text



Http Www Numdam Org Article Ast 1985 130 193 0 Pdf



Computation Free Full Text Application Of The Exp Function And Generalized Kudryashov Methods For Obtaining New Exact Solutions Of Certain Nonlinear Conformable Time Partial Integro Differential Equations Html



Acoustic Sequences In Non Human Animals A Tutorial Review And Prospectus Kershenbaum 16 Biological Reviews Wiley Online Library



Http Www Ams Org Proc 19 105 01 S0002 9939 19 9 S0002 9939 19 9 Pdf



1 Mutual Information And Entropy This Is A Question Chegg Com



Projecteuclid Org Download Pdf 1 Euclid Kjm



Ijms Free Full Text Aux Iaa14 Regulates Microrna Mediated Cold Stress Response In Arabidopsis Roots Html



Arxiv Org Pdf 1802



Www Math Kit Edu Iag6 Lehre Combplane13s Media Lecture Notes Pdf


コメント
コメントを投稿